|
Biomolecules Folding and Disease |
|
|
The course Laboratory of Bioinformatics 1 (66563)
includes in the second semester a 60-hour module given by
Emidio Capriotti.
The module will run from March 4 to April 30, 2024 and the lectures will be given in Via Selmi 3 at the FarBioMot classroom.
The teaching channel of the LM Bioinformatics is accessible through the following
link.
The recordings of the lectures will be accessible through the vituale platform.
This page will include all the slides and materials of the course.
| Course Schedule | |
| Introduction and Basic Concepts | 4 March, 2024. |
| Protein and RNA Structure Alignment | 5 and 7 March, 2024. |
| Multiple Alignments | 11, 12 and 14 March, 2024. |
| Probabilistic Models for Biological Sequences | 18 and 19 March, 2024. |
| Hidden Markov Models | 21 March, 2024. |
| HMM for Sequence Alignment | 25 March, 2024. |
| HMMER | 26 March, 2024. |
| Introduction to the Project and Implementation of a Blast-based Method. | 4-11 April, 2024. |
| Project Implementation | 15-18 April, 2024. |
| Protein Structure Analysis | 23 April, 2024. |
| Predicting the effect of protein variants | 30 April, 2024. |
| Hands-On Programming Sessions |
| This is a theoretical and hands-on module which requires the use of PC. Students need to use their own laptop. Practical session of the course will be performed on a Linux OS. |
|
Marti-Renom et al.
Structural Bioinformatics II Edition:
Structural Comparison and Alignment.
|
|
Thompson et al.
A Comprehensive Benchmark Study of Multiple Sequence Alignment Methods: Current Challenges and
Future Perspectives. PLOS ONE, 2011. |
|
Sviatopolk-Mirsky Pais et al.
Assessing the efficiency of multiple sequence alignment programs.
Algorithms for Molecular Biology, 2014. |
|
El-Gebali et al.
The Pfam protein families database in 2019.
Nucleic Acids Research, 2019. |
|
Loewenstein et al.
Protein function annotation by homology-based inference.
Genome Biology, 2009. |
|
Xu and Dunbrack.
Assignment of protein sequences to existing domain and family classification systems: Pfam and the PDB.
Bioinformatics, 2012. |
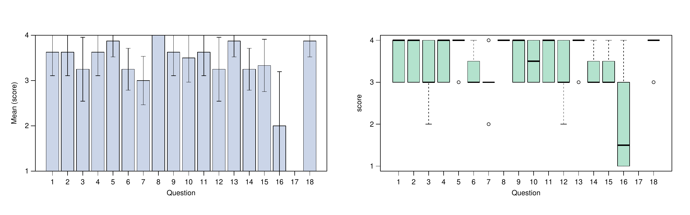
In this page we included the
evaluation form anonymously compiled by the
participants to evaluate the quality of our course. Answers submitted with
numbers from 1 (No) to 4 (Yes) have been included in the following statistics
calculated by R. The evaluation form was compiled by 8 participants which rated
the course with an average score of 3.43 over 4 (85.8%).
![]() Data |
| March 2023: | The Module 2 of the Laboratory of Bioinformatics 1 was held from 6 March to 26 April, 2023. More information is available at this link. |
| March 2022: | The Module 2 of the Laboratory of Bioinformatics 1 was held from 8 March to 26 April, 2022. More information is available at this link. |
| March 2021: | The Module 2 of the Laboratory of Bioinformatics 1 was held from 9 March to 30 April, 2021. More information is available at this link. |
| March 2020: | The Module 2 of the Laboratory of Bioinformatics 1 was held from 10 March to 30 April, 2020. More information is available at this link. |
| March 2019: | The Module 2 of the Laboratory of Bioinformatics 1 was held from 12 March to 17 April, 2019. More information is available at this link. |
| March 2018: | The Module 2 of the Laboratory of Bioinformatics 1 was held from 13 March to 3 May, 2018. More information is available at this link. |
| March 2017: | The Module 2 of the Laboratory of Bioinformatics 1 was held from 13 March to 4 May, 2017. More information is available at this link. |