The first edition of the course Introduction to Scientific Computing
(17-28 February, 2014) started with 19 participants 12 of which completed
the course (see the picture).
In this page we include all the material used during the course,
and the evaluation anonymously submitted by the students.
We would like to thank the participants for the fruitful comments that will
allow us to improve the quality of our course.

- Materials
- Evaluation
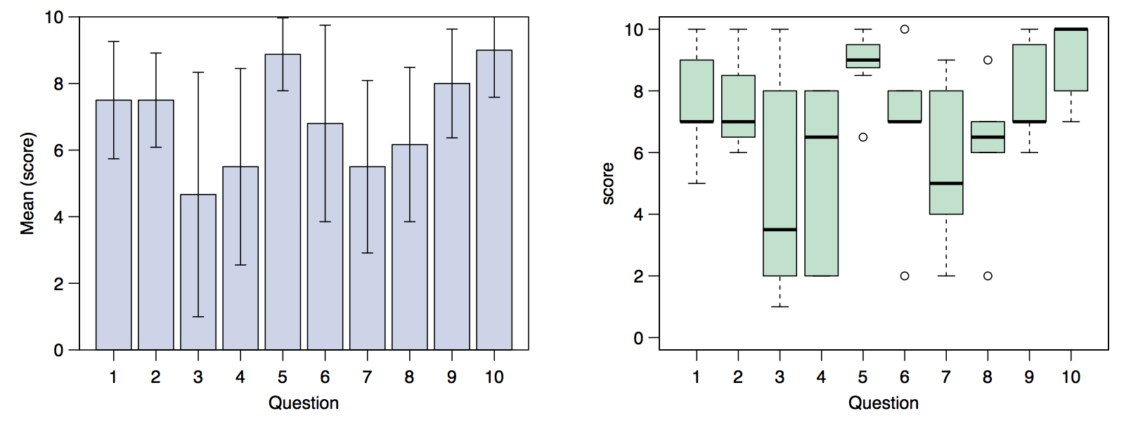
In this page we included the
evalaution form anonymously compiled by the
participants to evaluate the quality of our course. Answers submitted with
numbers from 1 (worst) to 10 (best) have been included in the following statistics
calculated by R. Some positive comments not submitted in numerical form have not been included in this statistics.

Data -
Rscript